بسم الله الرحمن الرحيم
السلام وعليكم ورحمه الله وبركاته
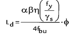
طول التماسك Development Length◾هو طول امتداد السيخ اللازم لنقل الاجهادات من الحديد ٳلي الخرسانة بشكل آمن بدون حدوث شروخ طولية في الخرسانة أو بدون انفصال في الخرسانة .- يجب ان تمتد اسياخ صلب التسليح على جانبى أى قطاع للعناصر الخرسانية بطول تماسك Ld يتناسب مع قوة الشد أو الضغط فى السيخ عند هذا المقطع لنقل القوى بدون انفصال أو شروخ طولية فى الخرسانة . ويقاس طول التماسك من القطاعات الحرجة التى يحدث عندها أقصى اجهاد شد او ضغط وذلك فى حالة الاسياخ التى تنتهى أو تكسح وكذلك عند عمل وصلة رباط للسيخ .
حيث :
Fbu = إجهاد التماسك الحدى للخرسانة مع صلب التسليح ويحدد من العلاقة التالية :
= معامل تصحيح يتوقف على نوعية سطح السيخ ومعطى فى الجدول التالى
طول التماسك
غير مسموح باستخدام اسياخ ملساء بدون جنش .
طول التماسك هو الطول اللازم لمنع إنزلاق أسياخ الحديد داخل الخرسانة تحت تأثير إجهادات الشد أو الضغط على هذه الأسياخ1. يجب أن يمتد سيخ التسليح مسافة على جانبي أي قطاع للعناصر الإنشائية بمسافة تماسك Ld تتناسب مع قوة الشد أو الضغط عند هذا القطاع.
يحسب طول التماسك Ld من جدول 4-9 أو من معادلة 4-56 من الكود المصري لتصميم و تنفيذ المنشآت الخرسانية 203-2018 وتعتمد على :
1- حالة العنصر (ضغط أو شد)
2- شكل طرف السيخ
3- نوعية سطح السيخ
4- مقاومة الخرسانة Fcu
لا تنسوا مشاركة هذه التدوينه مع اصدقائكم
( زكاة العلم نشره )
لا تنسونا من صالح الدعاء
م / أحمد عادل صلاح
.webp)